【毒素吸附劑】隱性黴菌毒素:對豬養殖者意味著什麼?

H.V.L.N Swamy,獸醫博士
奧特奇公司,圭爾夫市,安大略省,加拿大
翻譯:敖志剛
台灣奧特奇股份有限公司 提供

我們都知道黴菌毒素對養豬業造成損失,但是到底損失有多大,好久以來仍然是一個疑問。直到最近在《農業和食品化學雜誌》上發表的一片學術論文對這一問題作出了清楚的闡述(Wu和Munkvold,2008)。文章作者估計如果把僅僅污染了一種黴菌毒素(煙麴黴菌毒素)的乾酒精糟(DDGS)用於所有的生長育肥豬日糧中,每年就會給美國的養豬業帶來1.47億美元的損失。想像一下煙麴黴菌毒素對整個亞洲養豬業造成的損失會有多大!如果把中國、越南和菲律賓三個國家的養豬量加起來,煙麴黴菌毒素造成的損失就可能高達11億美元。那麼已知的300多種毒素和上千種未知的隱性毒素造成的損失又有多大呢?

您知道嗎?黴菌毒素在目前動物養殖行業面臨的重要問題中排第二位,僅次於飼料成本!提出這一觀點的不是別人,正是2007年參加在美國萊剋星敦舉辦的「奧特奇總裁俱樂部」的30位動物生產行業的領導者,他們生產的飼料產量佔世界總產量的15%。對替代性飼料原料依賴性的提高也造成了對黴菌毒素的關注程度提高。

豬對黴菌毒素更敏感

由於已知和未知的原因,與其他家畜和家禽相比,豬對黴菌毒素更敏感。造成這種情況的部分原因是豬的解毒機制和腦神經化學變化的不同。科學研究已經證實,豬對一些常見毒素,如黃麴毒素、赭麴黴毒素、去氧瓜萎鐮菌醇(嘔吐毒素或DON)、T-2毒素、煙麴黴菌毒素和玉米赤黴烯酮特別敏感。這些黴菌毒素的主要症狀和作用如表1所示。

玉米赤黴烯酮對繁殖母豬尤其重要,因為它可以造成母豬流產和增加空懷天數。空懷造成的母豬繁殖性能的損失每天高達4美元,顯著影響生產者的效益。

一種黴菌毒素=亞洲的養豬業11億美元的損失!

神秘的黴菌毒素挑戰

長期以來科學家和專業人員都對生產中對只在飼料中黴菌毒素水準很低甚至沒有檢出黴菌毒素的情況下表現黴菌毒素中毒症狀而困惑不已。可能的原因包括:飼料和飼料原料採樣方法不當,黴菌毒素檢測方法不當,不同黴菌毒素之間的加性和協同作用,以及黴菌毒素與其他營養和管理失調之間的互作。「隱性黴菌毒素」是黴菌毒素學科中新出現的一個領域。

隱性黴菌毒素:它們是什麼?

隱性黴菌毒素的科學定義是共軛結合的黴菌毒素,通常是和極性物質如葡萄糖結合(Berthiller等,2005)。我們稱之為「隱性黴菌毒素」,因為這些物質用常規的黴菌毒素檢測方法檢測不出來,但是在動物的胃腸道里水解後卻可以釋放出它們的毒性前體(如嘔吐毒素和玉米赤黴烯酮)。

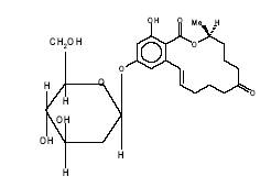
隱性玉米赤黴烯酮

Gareis等(1990)評估了在豬的消化道消化過程中結合玉米赤黴烯酮(玉米赤黴烯酮配糖體)的穩定性。在糞便和尿液中中檢測到的代謝產物只有玉米赤黴烯酮和α-玉米赤黴烯醇。這一結果顯示結合的玉米赤黴烯酮在消化過程中被分解,釋放出玉米赤黴烯酮。

圖1 隱性玉米赤黴烯酮的結構(玉米赤黴烯酮-4-β-D-葡萄糖苷)

隱性嘔吐毒素

Berthiller等(2005)第一次報告了在煙曲黴菌污染的小麥和玉米中天然產生的嘔吐毒素的配糖體。這一研究結果顯示了在控制食品和飼料安全時把DON和DON-3-葡糖苷同時考慮的重要性。污染小麥和大麥中隱性嘔吐毒素的濃度可能達到實際嘔吐毒素含量的63-88%(liu等,2005;Zhou等,2007)。簡單說,如果大麥中嘔吐毒素的含量是1ppm,那麼豬的腸道中嘔吐毒素的濃度可能達到1.88ppm。

圖2 隱性嘔吐毒素的結構(DON-3-葡糖苷)

結合黴菌毒素毒素只有嘔吐毒素和玉米赤黴烯酮嗎?

答案是不。1986年在印度的香蕉中檢測到單端胞黴烯煙麴黴菌毒素的脂肪酸酯,如trichothecolone,scirpenetriol和T-2四醇。其他隱性黴菌毒素在不同飼料原料中的發生潛力需要進行進一步的研究。

隱性黴菌毒素毒素的危害

1.  低估飼料和飼料原料中的黴菌毒素水準,從而對黴菌毒素檢測作為判斷黴菌毒素污染的工具的有效性提出質疑。

2.  黴菌毒素管制機構對飼料和飼料原料中的黴菌毒素水準設定錯誤的標準。

3.  低估黴菌毒素的潛在毒性,從而引起黴菌毒素中毒症爆發和造成經濟損失。

4.  造成黴菌毒素防治策略失敗。

5.  黴菌毒素有更大的機會進入食物鏈從而引發公共健康安全危機

對黴菌毒素防止策略更大的壓力

隱性黴菌毒素帶來更大的壓力,迫使人們在豬飼料中使用有效的黴菌毒素吸附劑。正如我們在前面所討論的,隱性黴菌毒素在消化道被消化後可以被釋放進入血液循環系統。這就要求黴菌毒素吸附劑必須在動物體內快速發揮吸附作用,通過糞便把毒素清除出去。黴可吸TM(奧特奇公司生產),一種獲得專利的,從特定菌株酵母細胞壁內壁提取的黴菌毒素吸附劑產品,已經被驗證具備這一特性(Volkl和Karlovsky,1998)。

黴可吸TM能夠吸附多種對家畜和家禽比較重要的黴菌毒素,所以能夠預防生產商的經濟損失。從90年代初期開始,就已經對黴可吸TM進行了大量的研究,最新的研究領域是對黴可吸TM作用機理的闡述。法國農業科學研究院(INRA)進行的一個多學科的研究已經證實了黴可吸TM中的特定的β-葡聚糖對不同黴菌毒素的吸附反應中有氫鍵作用和范德華迭加互作反應(Yiannikouris等,2003,2004a,b,c,d,2006)。

到目前為止關於黴可吸TM的研究已有超過50篇經同行審閱的科學文章發表,涉及的動物品種包括家禽、豬、反芻動物、馬和狗。黴可吸TM在豬上的主要效益見表2。另外在世界各地進行的多個田間試驗顯示黴可吸TM添加到生長/育肥豬日糧中的投入產出比高達1:4(Edwards,2001)。

表2 同行審閱的黴可吸在豬中的效果的研究文獻

總結

黴菌毒素中毒案例的頻繁發生和造成的經濟損失,反映了豬對多個黴菌毒素是非常敏感的。對豬黴菌毒素中毒症的瞭解受多方面因素的干擾。在隱性黴菌毒素方面的最新的研究發現可以解釋為什麼很低水準甚至低於可檢測水準的黴菌毒素污染,就可以使豬表現出生產性能下降。隱性黴菌毒素對黴菌毒素吸附劑的效果提出了更高的要求。黴可吸可以有效地減少黴菌毒素引起的經濟損失。

參考文獻請聯繫作者索取

Press Contact

台灣奧特奇股份有限公司

80250高雄市苓雅區四維三路6號23樓A5室

電話:07-335-0107 傳真:07-335-4290

www.alltech.com

標籤: , , , 1

留言版

  1. 原來黴菌毒素這麼可怕!

    1. 沒錯喔!所以神農的精料裡面都有添加毒素吸附劑,同時多元菌也可有效降解黴菌毒素呢!

        -  

發佈留言

發佈留言必須填寫的電子郵件地址不會公開。